前段时间,网红博主飞哥,用充满了“科技与狠活”的视频,把某酱油“双标”事件送上了热搜,引发了添加剂安全性这一全民话题。
不可否认,人工合成的添加剂是现代工业的基石,如果一味地追求无防腐、纯天然,不论是食品还是化妆品,那对产品的包装和保质期会有不小的挑战。
比如飞哥的这款自制天然护肤霜,里面没有加入防腐剂,那么如果不在短时间内用完的话,这款食用级面霜很快会变成微生物培养基,使用安全性堪忧。

图1:飞哥科技与狠活
当然另一方面,从网友的态度可以看出,大部分人在经济能力允许的范围内,更倾向于选择天然来源的产品,或者说愿意为了产品的高天然性付出一定的溢价。
天然来源化妆品标准和法规解读
随着国家禁塑令法规的落地和“碳中和”目标的推行,“可持续发展”和纯净美妆理念日益深入人心。持续的新冠疫情进一步唤醒了消费者保护自然的意识,同时对绿色天然来源产品的信任度也不断随之提升。
2021年,全球天然护肤品市场规模为67亿美元,预计2022年至2030年将以6.6%的复合年增长率(cagr)增长。
产品的短期功效不再是消费者选择的唯一标杆,是否符合绿色天然、可持续发展标准也在较大程度上影响着消费者的购买决策。
开发天然来源化妆品不仅可以提升产品的定位,还可以彰显企业的社会责任,为消费者提供实用和价值并存的产品与服务,实现经济及环保层面的可持续发展,赋予品牌新的意义。
那么化妆品中天然成分是怎么定义的呢,有没有一个量化天然指数的标准,国家对于天然来源化妆品的法规又是怎么样的呢?今天小编就来给大家做一个简单的梳理。
天然化妆品自古有之,比如中国古代描眉用的石黛,就是一种黑色矿物,古埃及人用散沫花的汁液涂抹指甲。不同国家、品牌对原料和产品天然的定义不尽相同,这就会造成某种程度的“双标”和混乱,阻碍了天然化妆品的良性可持续发展。
基于这个背景,在国际标准化组织的推动下,经多方的协调、论证和谈判,直至2016年,达成了初步共识,iso 16128应运而生。
iso 16128分为两个部分:
1、iso 16128-1: 2016(iso 16128-1-2016 guidelines on technical definitions and criteria for natura l and organic cosmetic ingredients and products part 1: definitions for ingredients)颁布于2016年,提供了天然和有机化妆品成分定义指南。
2、iso 16128-2: 2017(iso 16128-2-2017 cosmetics guidelines on technical definitions and criteria for natural and organic cosmetic ingredients part 2: criteria for ingredients and products)颁布于2017年,主要介绍了天然有机化妆品成分和产品的标准。
参考这个国际标准,上海日用化学品行业协会也在今年发布了t/shrh 041—2022团体标准《化妆品中天然成分的技术定义和计算指南》,在天然化妆品部分定义和计算方法基本相同,算是iso 16128部分内容的汉化版,我们下面就来着重看一下t/shrh 041—2022的内容。
首先我们看一下几个技术概念。
界定是否属于天然成分(nature indredients)的主要依据是来源和制备过程,如表1所示:
表1:天然成分的界定依据

也就是说,只有同时符合来源和制备过程的成分,才被称为天然成分。例如:
从定义我们可以看出:
1? 如果原料是是单组分的天然成分物质,那么它的“天然”比例是100%;
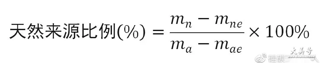
2? 如果原料属于提取物,即除了天然成分物质,还复配了其他成分,那么它的“天然”比例则需要按照质量百分比折算,我们用成分天然指数(natural index)这个术语来描述这个比例。
计算公式


如果是通过特定的化学和或生物工艺进行化学改性得到的成分且根据相对分子量或其它相关计算方法得出的天然来源比例大于50%,那么我们称之为天然衍生成分(derived natural ingredients)。
其中,特定的化学和或生物工艺进行化学改性方法主要包括酰化(如酰胺化和酯化反应),加成(如水合作用),c/o/n-烷基化(包括醚化和胺化反应),煅烧/碳化,碳化,缩合,酶和微生物过程,糖化,氢化,氢解,水解(包括皂化反应),离子交换(包括中和反应),烯烃复分解,氧化,磷酸化,还原,硫酸化等。
注意:
天然来源比例的计算可分为两种情况:
如果成分分子量已知时,如椰油酰胺丙基甜菜碱,分子式为,相对分子质量为432g/mol,其中来源于工艺中的天然椰子油的部分的分子式为-,相对分子质量为183g/mol,那么椰油酰胺丙基甜菜碱的天然来源指数为183/432×100%=53.5%
如果成分分子量未知时,如茶叶中提取的儿茶素类原料,成分复杂,无法获得每个组分的相对分子量和比例,而且常规制取工艺中包含使用石化原料丙酸酯化的过程。
计算公式


只有当天然来源比例大于50%时,成分被称为天然衍生成分,我们用天然来源指数 (natural origin index)这个术语来定量描述这个比例(如上述椰油酰胺丙基甜菜碱的天然来源指数为0.535)。
如果是通过特定的化学和或生物工艺进行化学改性得到的成分且根据分子量或其它相关计算方法可得出的天然来源比例小于 50%,那么我们称之为非天然成分(non-natural ingredients)。
注意:
成分天然指数仅限于描述天然成分,成分的天然来源指数适用于天然成分或天然衍生成分,但不适用于非天然成分。例如,成分天然指数或天然来源指数35%都是不符合定义的描述。我们来看一下具体实例:
表2:成分的天然指数及天然来源指数计算实例

说完原料,我们来看一下配方。
配方中天然成分含量 (natural content of a product)是指产品配方中除额外添加的水外,所有天然成分的质量百分比。
计算公式


配方中天然来源含量 (natural origin content of a product)是指产品中除额外添加的水外,所有天然衍生成分的质量百分比。
计算公式


指配方制备过程中添加的水的质量百分比。我们来看一下具体实例:
表3:配方中天然成分含量和天然来源含量计算实例

关于天然来源化妆品,目前我国没有出台相关的法规,但需要注意的是,根据国家食品药品监督管理总局发布的《化妆品标识管理规定》《化妆品命名规定》《化妆品命名指南》等文件要求,只添加部分天然产物成分的化妆品,但宣称产品“纯天然”的,属虚假性词意和违规宣称。
2021年11月4日,美国众议员sean patrick maloney在众议院提出了《天然化妆品法》(the natural cosmetics act),旨在修订1938年通过的《联邦食品、药品和化妆品法》(the federal food, drug, and cosmetic act)。
该法规规定:
1、化妆品的包装和标签上使用“天然”一词,其成分须达到规定的标准,否则视为虚假标签,fda有权停止销售或召回使用虚假标签的化妆品
2、在标签上、销售中宣称是天然的化妆品,必须含有≥70%的天然物质
3、同时任何生产或销售贴有“天然”标签的化妆品的企业,都会被要求提供成分鉴定记录,如碳14法检测天然成分的含量,该测试可提供产品的生物来源和化石来源成分的数据。目前尚无法确定该法案是否或何时获得可以通过。
广州日报《年轻人买美妆 “绿色”很重要》
t-shrh041-2022《化妆品中天然成分的技术定义和计算指南》
互信,互利。文|方良“‘完美组合’成员实现两年内利润增长80%以上,可喜可贺!”6月14日莫干山会议后,福建浓妆淡抹品牌管理有限公司创始人薛孝香在朋友圈向外界宣布“完美组合”两年的业绩表现。“完美组合”是什么组织?两年利润增长超八成是如何做到的?昨晚(6月17日),带着对“完美组合”的好奇,青眼对薛孝香进行了采访,揭开了“完美组合”的面纱。
你有没有收到过“良心安利”、“大厂代工”、“小样清仓”等等花式推销化妆品?其中可能有一些真的是品牌商家的促销宣传,但更多的是用便宜的价格和话术套路来诱骗消费者,产品质量和效用无法保障,更甚者会以你的健康为代价!省流版长期使用含有重金属、氢醌、甲醇、糖皮质激素、性激素、抗生素等禁用或限用物质的化妆品,轻则引发炎症,重则导致多器官和系统损害,甚至导致癌症。
娇兰(Guerlain)成立于1828年,主营香水、化妆品及保养品,是酩悦轩尼诗路易威登集团旗下的品牌。自从1828年,既是医生,也是药剂师的PierreFrancoisPascalGuerlain在法国巴黎开设了第一家香水店后,从此和香水分不开的Guerlain便传唱开来。1830年,Guerlain尝试把香水个人化,例如:某一种香味是专门给某位女士,或是特别为某个场合而制造;依循着这个概念,Guerlain也创造了一系列的美容处方,在日常护肤品及化妆品上崭露头角。
20岁左右适合的韩国化妆品我觉得用葆天妮20 比较好,这个也是最近在韩国乐天免税店比较畅销的的一个品牌,主要就是针对20出头到30岁末段的女性顾客,比起塑造明显的美颜效果,葆天妮20 更注重植物护肤的纯粹之感,让皮肤变得越来越健康。去韩国旅行时,别忘了买这款水乳套装哦!在首尔中区的小公洞,乐天免税店总店已经有专柜了,现在入手,最适合此刻的天寒地冻了~
广州是化妆品产业的重要中心,拥有众多的化妆品和工厂。其中,前十名的化妆品工厂在这个行业中拥有举足轻重的。本文将介绍广州化妆品工厂前十名,并分析其成功的原因。一、雅诗兰黛(estée lauder)雅诗兰黛是的化妆品之一,其在广州设有生产基地。该工厂拥有的生产技术和设备,生产出的产品质量,深受广大消费者的喜爱。
最近很多粉丝都在私信问我,孕妇或者在坐月子期间哪些护肤成分不能使用。今天就具体的跟大家聊聊孕妇有哪些禁用的成分!因为这些成分不但孕妇期间不能使用,正常情况下的皮肤使用久了也是不好的,怀孕期间是可以使用护肤品,但是要注意一些对胎儿有害的成分的,否则这个是会直接影响到胎儿发育不良的情况的,所以今天给大家普及的这些成分是在怀孕期间千万不能碰。
进入中国市场第五年,美国平价彩妆品牌e.l.f.宣布暂别中国市场。2月20日,北京商报记者了解到,美国平价彩妆品牌e.l.f.将于3月底下架所有商品暂别中国市场,这距离其进入中国市场不足五年。e.l.f.不是第一个退出的品牌,大概率也不会是最后一个。近两年,伊蒂之屋、美宝莲等被众多消费者熟知的外资平价彩妆品牌相继离场,而这背后是本土平价彩妆的兴起。
说实话,现在的护肤品实在是太内卷了,价格一个比一个贵,但是效果却与价格不成正比,实在是令人寒心。相比之下,小时候觉得那些因为价格太贵而用不起的“老国货护肤品”,现在反倒因为太便宜而遭人嫌弃,难道是它的效果不好吗?并不如此,而是因为“包装丑”!本期内容,就来为大家盘点那些被“包装”耽误的老国货护肤品,只因“包装丑”而被人嫌弃,护肤效果却不输国际大牌~
旺角是香港的热门旅游区,购物生活都很方便 我雷某人去香港一般都是从深圳福田口岸过关的 本文侧重点是彩妆、护肤品的购买啦~里面的美妆品牌多到...眼瞎...能买到比较全的日系化妆品、护肤品 这个扶手电梯可算是香港最长的商场扶手电梯之一 是香港九龙区最大面积的购物中心 就是这几家美妆护肤品集合店:去香港扫荡一番 刚好我这个老司机,去香港也不下十次了...
SK2、HR赫莲娜、LAMER海蓝之谜、希思黎、迪奥、香奈儿……这些大牌子的化妆品,是个女的肯定都听说过,但是用过的人可能只有百分之一吧。本人亲自使用了SK2、赫莲娜、香奈儿、海蓝之谜这几款大牌护肤品。海蓝之谜的精粹水乳,非常好用。保湿效果很好,吸收也很快,干皮姐姐可以入手。对痘痘肌?红血丝都有很好的修复功效。
海淘过护肤品或者化妆品的宝宝们应该都知道,许多国外的品牌是不标生产日期的,但他们都会在瓶身标上一个生产批号,其实这个批号中就蕴含着生产日期,那么今天就给大家分享一下如何查询海淘护肤品保质期~标注位置:生产日期通常标注在化妆品瓶底或瓶身.判别方法:采用三位编码和五位编码两种方法表示 (2)熟悉化妆品标注的生产批号,在不借助查询工具的情况下也能看懂生产日期。
化妆品是美化外在形象的,具有礼仪性,是五行属火的性质。而化妆品的零售及批发、皮肤护理、美容化妆、美容专科学校、香水零售和批发、假发业、减肥及体重控制、头发护理等:这是属于美感和性感魅力的行业,于术数中为贪狼星所主,有桃花性质,五行属水。护肤品行业在五行中属什么 凡八字五行属水中水行气势凸显(不论喜忌)而又行喜用大运时,抑或八字喜水而恰行金水运、水木运之时,都适合在该段时空里从事与水的属性相关之职务和事业,如能同时与水行所代表的六神合参更佳。水行含射之事物甚多,例如河川、湖泊、海洋、井水、自来水、水力、水利
中国市场上,“娇兰佳人”、“唐三彩”等化妆品专营店在二、三、四线城市遍地开花。它们常常在跨国公司化妆品品牌市场下沉中扮演着重要角色。日前,宝洁旗下品牌“飘柔”正式推出了高端调香洗护品牌R系列“法式小香瓶”,共有“香遇巴黎”和“地中海微风”两个香型。该系列产品只在CS渠道(化妆品专营店)销售。除了宝洁,在CS渠道下重本的还有欧莱雅集团。这家公司甚至成立了一个300人的团队,专门为化妆品专营店的专业人员提供培训,并为该渠道的物料进行升级,比如优化品牌产品的墙柜、试妆台、品牌陈列架等,为消费者提供更好的购物体验
据苏州绿叶董事长介绍说,国内的护肤化妆品市场虽然发展迅猛,但是国内民族品牌却是生存艰难,为了扭转这个局面,苏州绿叶连同瑞士国家生物护肤中心CRB公司以及意大利化妆品巨头Intercos(希诺丝)集团合力推出包括护肤品、彩妆、香品在内的高端化妆品品牌,成为中国第一个中国制造的高端化妆品品牌。中国作为全球最大的高端化妆品市场,在这个庞大市场上的品牌却几乎是国外品牌的天下,国内高端化妆品罕有足迹。从人们的消费习惯上,也基本倾向于国外的知名品牌,原因之一国内高端化妆品可以说根本没有选择。为了打造出国内的高端化妆品